Talking about Talk
We are excited to see all the effort on Notes From Nature in terms of transcription effort, but one thing we’ve mentioned less is just how active everyone has been on Talk. But the numbers are insane, in the good way. Today was a record breaking day (we are currently at 203 talk items as of 5pm), and to just get a sense of activity change, below is the talk items per day chart for the past few months (from June 23-November 1).

To what do we attribute all the talking, especially the big change in the last few weeks? We aren’t sure, but whatever it is, its great to see. We love the talking, and we appreciate all your help and willingness to share thoughts, concerns and expertise on the talk channels.
Too many eyes and legs!
We have a new expedition up on SPIDERS just in time for Halloween. Spiders often get a bad rap. They are seen as scary and creepy, especially around Halloween when people decorate their houses and shrubs with fake webs and giant black widows. But spend a few minutes watching them and you will realize spiders are some of the most fascinating and talented animals in your neighborhood. The most conspicuous spiders are the orb weavers that spin webs of concentric circles, like in Charlotte’s Web – though don’t expect to see any advertisements written in these webs. Many of these spiders eat their webs each day, recycling the materials, and rebuild them for the next night’s catch, which they skillfully wrap in silk to snack on later.
picture credit San Diego Zoo
Many spider species do not build webs at all. Jumping spiders and wolf spiders are active, visual predators with two, large, forward-facing eyes, to go with their lateral eyes. They capture their prey by pouncing on them. Jumping spiders in particular are very inquisitive and often will investigate objects you set in front of them. Many are brightly colored and have very elaborate courtship displays in which they wave their front legs and thump their abdomens (try a search for “peacock spiders”).
picture credit Susan Kennedy
Spiders also are unfairly accused of bites and crawling into people’s mouths at night. It is not clear where these urban myths came from, but there is no evidence that spiders infiltrate us while we slumber. As far as bites, it is extremely rare that someone actually finds the suspected spider on, or anywhere near them after a bite. Unless a spider feels trapped with no recourse, it very rarely bites. Even when left with the choice of fighting back or losing a leg, many will choose to lose a leg and run away on seven.
So why the bad rap? Probably because we walk into their sticky webs and find them lurking in the corners of our buildings. And also because they look so incredibly different from us with too many legs and too many eyes.
Finally, thanks for your help with our newest CalBug expedition, although maybe in this case we should call it SpiderCal or ArachniCal for this one instead?
Peter Oboyski, with slight embellishment by Rob Guralnick
Thanks for your help on the “New World Swallowtail Butterflies from the Field Museum of Natural History II” expedition
Butterfly wings are amazing things, made of two connected membranes, with internal nerves, veins and passages for air inside. On the outside are pigmented scales that attach to this membrane. Those pigmented scales give butterflies their vibrant colors that continue to amaze us. When flying, wings are moved by the rapid muscular contraction and expansion of the thorax, providing lift.
Scales of a butterfly wing. Photo from: https://c1.staticflickr.com/3/2081/5773583820_71b9396a52_b.jpg
The shape of butterfly wings have been sculpted by selective forces, both natural and sexual selection. How wing shape varies due to biotic and abiotic factors has long fascinated biologists, including my post-doctoral student, Hannah Owens. She has been working on one of the largest accumulations of butterfly wing morphometrics yet attempted, that includes 1000s of specimens. One reason we can do this work is because of volunteer help transcribing labels that describe where these specimens were collected. With that information, we can also get information on the environment where those specimens were collected.
We really appreciate the effort to accelerate research on butterfly wing shape, and we’ll be talking more about her work, especially some key questions she can tackle, in a later blog post. We have another set of images soon available and more about this neat work she is doing. Thanks for your effort to be part of Hannah and her research project, and for being part of Notes of Nature. We have some more images coming – what we think might be the last batch – and we hope you’d be willing to help again.
Thanks for talking
We’ve mentioned recently that we’ve been thrilled to see more effort on Notes from Nature in terms of transcriptions. We also wanted to mention that there has been an equally strong uptick on the talk channels. We want to encourage everyone to talk about the objects, connect with like minded folks, etc. We really appreciate the feedback. As extra encouragement, we are now offering two new badges, the “Communicator” badge, for posting one item on “talk” of any sort, and the “Socializer” badge, for 25 posts. Rather than spoil the fun, we are going to keep the badges a surprise for now, but encourage you to get those badges!
Why all the swallowtail butterflies?
You may have noticed that there have been a few different expeditions in the past few months focused on swallowtail butterflies. These specimens will be used for a larger project where we are planning to quantitatively look at the variation in wing morphology across and within swallowtail butterfly species. We have amassed approximately 1300 photos of swallowtail specimens from various museum and personal collections with the intention of having at least 10 males and 10 females from every Papilio species. Using morphometric analyses of landmarks on the dorsal and ventral wings, we will test the wing shape variation across species to see if there are correlations with sex, tropicality, geographic range size, and the number of congeners in the species’ range.
What do we mean by “landmarking”? This is an approach called “geometric morphometrics” where we select the same locations on a butterfly image in each image, and then we use some really neat tools that can find the best “fit” to a common “consensus”. For this project, we are using where veins in the butterfly wings meet the edge as our landmarks. Figure 1 shows an example of the ventral wing landmarks using this fitting method. The big black dots are the “consensus” landmarks and the variation around them in shown in the smaller grey ones. You can clearly see that some parts of the wing are much more variable than others. We know the orientation of the image below is a bit odd, but the variable landmark that is at the low point on the y-axis is near where the wing attaches to the body.
Now that all of the Notes from Nature swallowtail expeditions are complete, we will be working all summer to landmark these specimens and add more to our sample size for future analyses. If you are interested in the further ways we analyze morphological variation, give a holler and we can go into further detail. We will send along another update on this work later in summer, and thank you for helping us move forward with this research!

Figure 1. Plot for the x/y coordinates of the ventral wing landmarks for 27 Papilio specimens so far.
blog post by Laura Brenskelle
Almost there… a finishing challenge
We are running a new expedition finishing challenge, for those with completion anxiety (like we do). Here are the expeditions closest to finished, in near order of effort needed:
1. Butterfly_New World Swallowtail Butterflies II
Classifications: 433 / 609, 71% complete but only 175 or so transcriptions left.
2. Herbarium_Unlocking Northeastern Forests: Nature’s Laboratories for Global Chang
Classifications: 6,886 / 7,089, 97% complete (200+ left)
3. Herbarium_Amaranthaceae: Cosmopolitan Allrounder
Classifications: 981 / 1,332, 74% complete (~350 transcriptions left)
3. Herbarium_Natural North Carolina’s – Adoxaceae – Elderberry and Viburnum!
Classifications: 8,480 / 9,288, 91% complete (still 700 left)
We really appreciate the help, and we’ll report when these get finished, so you can see who wins the challenge!
So What Do We Do with All of Your Transcriptions?
We wanted to explain more about what happens behind the scenes after our awesome Notes from Nature volunteers do transcriptions or classifications. What do we do with it and how do we get it back to curators or other scientists at Museums? One thing you may not know is that every label is transcribed by three different people. The idea is that more folks examining labels will lead to better results. For example, if two people enter Wisconsin for the state, and one person accidentally enters Wyoming then we can assume Wisconsin is correct and that Wyoming was a mistake. We also know that some labels are tough to interpret, and sometimes a couple different guesses can get closer to the right answer than just one.
This seems pretty easy right? Well… it gets more complicated when we start working with free text labels. Those text boxes where you enter sentences and phrases from the label. Things like locality information “Route 46 next to a tree by the stop sign on 4th street”, or habitat data “in a field”. How do we compare answers for these kinds of labels. What do we do with extra punctuations? Extra spaces? Extra words? Different words?
We have spent the last few months writing code that helps handle these kinds of situations. Essentially we want to first find labels that match and if not then we want to select the best label we can from the set of answers. We have set up a series of decisions rules to go through your answers. First, we ask if two of the three answers are identical including spaces and punctuation. If they match we are done. If not, then we remove extra spaces and punctuation and ignore capitals and ask if two of the three answers are identical. If so then we select the one with the most characters- with the idea of getting more information.
These two labels would be found to match after removing punctuation, spaces and ignoring capitals. Here we generally take the one with more characters to include as much information as possible.
Rd. 10 KM 24 *RD. 10. KM 24 *this one gets selected more characters
At this next stage things get a little more complicated and we want to use our decision rules to select the best answer we can among the three. First we look for labels where all of the words from one are found in another – partial ratio match. If we find this then we take the label with the most words.
North Fork of Salmon River at Deep Creek, by US-93 *North Fork of the Salmon River at Deep Creek, by US-93 *partial match selection– more words
Finally, we compare the answers using both a ‘fuzzy matching’ scheme. The fuzzy matching looks partial matches on words for example someone may have written ‘rd’ whereas someone else wrote ‘road’, our fuzzy matching will allow those to be considered the same. This strategy also allows for slight misspellings between words. If we get a fuzzy match between the two labels then we take the label with the most words. That ensures that we get the most data we can from these answers.
*County Line Road 2 mi E of airport County Line Rd. 2 mi. E. of airport *fuzzy match select this one
The end result of all this is a reconciliation “toolkit”. We pass all transcripts from finished expeditions through this toolkit, and it delivers three products. The first is just the raw data. The second is a best guess transcription based on the field by field reconciliations described above. The third is perhaps the most important – a summary of what we did and how we did it as a .html file. The summary output is something we are extending, as we think of new things that providers might want to see. Here is an example from the New World Swallowtail Expedition, one of the more difficult expeditions we’ve launched.

More recently, we have added some new features, including information about how many transcriptions were done by transcribers (based on their login names at Zooniverse) and a plot of transcription “effort” and how that looks over all transcribers. The effort plot is very new, but we wanted to provide information on whether most of the effort is done by a very few people, or there is more even spread across transcribers. Here is an example for a different expedition, “WeDigFLPlants’ Laurels of Florida”:

Finally, we give them the information about how labels were reconciled (if there was an exact match, partial or fuzzy match). We do this so the providers can go through them and decide if there are some they want to check. We also highlight any problem record, those for which we could not get a match, or those for which there was only one answer – so we could not compare the answers. Here is an example from one label. The areas in green are the three different answers, the top row is the ‘best guess’ reconciled record and the gray row is information about how the reconciliation was done. For example on the first column Country all three answers were Myanmar – and in gray it says we had an exact match with three answers. The ones in red are potential issues (in this case only one answer given).

The goal of all of this is to make it easy for providers to use these data right away. And we’ll note that this tool allows us to also get an overall look at transcription “success” rates, something we may come back to future posts, because these numbers are striking and illustrate the high value of this effort.
– Julie Allen, Notes from Nature data scientist
Phenology of Oaks: A recap
A huge shout out to our volunteers for quick work on our first NFN Ideas project, which focused on oak phenology. We completed the expedition a week after launching it, with 1944 transcripts of 644 subjects. 53 awesome transcribers took part. A lot of discussion on talk focused on some of the challenges with denoting flowers and fruits — it is harder than it first looks! So folks were interested in whether there was consistency among transcribers, and if the results would be consistent with an expert assessment. We have some initial answers to those questions and more! And a note that ALL of these data – the label data and phenological scoring – were ALL done by Notes from Nature volunteers.
So to get right to it! Transcriber consistency on this expedition was absolutely remarkable. Well above 99%. Yeah. We were surprised, too. There were three cases where we didn’t get consistent results. Just 3! Out of 664 subjects. So apparently there was very strong agreement.
We took a closer look at the three that seemed to prove difficult.
Those were:
- subject_id: 4308678 –http://www.sernecportal.org/portal/collections/individual/index.php?occid=11108535
- subject_id: 4308659 –http://www.sernecportal.org/portal/collections/individual/index.php?occid=11108069
- subject_id: 4308844 —http://www.sernecportal.org/portal/collections/individual/index.php?occid=11130030
The consensus scoring for those from transcribers were:
- subject_id: 4308678: Flowers: No, Fruits: No
- subject_id: 4308659: Flowers: No, Fruits: Yes
- subject_id: Flowers: Yes, Fruits: No
I then asked NFN’s own Michael Denslow, who is also a darn fine botanist, for his assessment (without reporting anything about transcriber’s scoring), and he was 100% consistent with the three above. He noted for 4308678, “Funky one for sure” and for 4308659, “The terminal buds might be confusing people on these. Based on the collection date (and presence of terminal buds) fruits could be from pervious fall.”

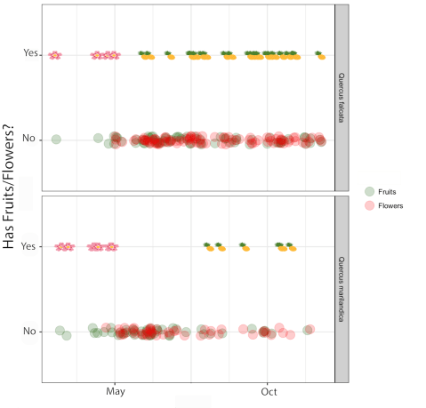
And finally, we wanted to see if we could use these data to look at phenology patterns, so our data scientist Julie Allen did some quick visualizations of the data using the statistical package, R, which has some great plotting functions. You can see our plot above, for two species, Quercus falcata (top) and Quercus marilandica (bottom), two common oaks where we had enough data to examine patterns. The plot shows time on x-axis measured from March through November, and the y-axis is just a yes-no response. For yesses, we show a little emoji, and for no’s you can see those no reports over time for fruits and flowers in different colors. Yup, we decided to go with a tropical flower and fruit motif here, despite oaks definitively not producing pineapples!
The really neat thing is that we do pick up the short, and early flowering period for oaks during Spring, and in Q. falcata, a seemingly quick transition to acorns, and a slower cadence for Q. marilandica (note the longer period between flowering and appearance of acorns). There are still some great questions to examine here — these records were not all from the same year, and maybe some variation we are seeing is due to climate variation year to year. There were a couple “no flower” records during a typical flowering period and these might be either limited information from the sample, or perhaps something about that particular year. We are more than happy to share the raw data from this expedition with anyone who wants a closer look!
Beat the ETC Finale
Thanks to everyone for all their hard work on the four expeditions near completion late last year. Quick update – we are done! All those expeditions are finished. Finito. Done. Awesome.
Here is a quick summary about how you beat the ETC (estimated time to completion)!
- Pinned Specimen_Tiger Beetles 3. That one had an 8 day ETC on Dec. 30th, and finished on January 1, beating the ETC by 6 days.
- Herbarium_Arkansas Dendrology: Part 8: Hickories and Walnuts. You beat the ETC by 3 days, also finishing on January 1.
- Aquatics Aquatic Insects of the Southeastern United States expedition had a 3-day estimated time to completion (ETC) and finished within the first day. You beat ETC by 2 days.
- Magnified_The Killer Within: Wasps, but not as you know them had a 19 day ETC and those are some challenging labels, as well. We finished that one in 15 days. So we beat the ETC by 4 days, but it was a major effort to get those last, and likely hardest ones, done.
Overall, you shaved off 19 days in total, and we couldn’t be more thrilled. Now that we have cleared out some of these older expeditions, we are looking forward to some new ones coming on board in the next few weeks. We’ll have more information on those, and some other plans for 2017, to share soon!
Beat the ETC Update 2.5 – another finished expedition. How fast?
Happy first day of 2017! And a big WOW on all the effort to beat the ETC. Just now, your effort helped to get Pinned Specimen_Tiger Beetles 3 done. Finished. That one had an 8 day ETC on Dec. 30th, so you beat the ETC by 6 days!
Now there are just 2 expeditions near-complete left, Herbarium_Arkansas Dendrology: Part 8: Hickories and Walnuts (ETC 3 Days) and Magnified_The Killer Within: Wasps, but not as you know them (ETC 14 days). Both are getting done (slightly) faster than the ETCs we posted on Dec. 30th, so that is great – but lets just how much faster!
Update as 7pm Jan. 1: Herbarium_Arkansas Dendrology: Part 8: Hickories and Walnuts just FINISHED – you beat the ETC by 3 days and took it to another level with 168 transcriptions in the last 24 hours.
